3. Determine Slenderness Effects
| CSA A23.3-19 (10.14.1.2) |
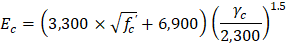
| CSA A23.3-19 (Eq. 8.1) |
| |
For the column below level 2: | |
| |
For the column above level 2: | |
| |
For beams framing into the columns: | |
| |
Where: | |
| CSA A23.3-19 (Eq. 8.1) |
| CSA A23.3-19 (10.14.1.2) |
| |
(Column considered fixed at the base) | |
Using the following figure à k = 1.378 for the exterior column. | |

Figure 2 - Effective Length Factor (k) for Exterior Column (Sway Frame)
Note: | CSA A23.3-19 (Cl. 10.15.2) allows to neglect the slenderness in a non-sway frame. However, there is no such clause in for sway frames. The CSA A23.3-19 committee intended that all columns in sway frames should be designed for slenderness. |