The design shear force, Ve, is determined in accordance with ACI 318-19 (18.10.3.1): | |
| ACI 318-19 (18.10.3.1) |
Because hwcs / lw = 10.3 > 1.5, | |
| ACI 318-19 (Table 18.10.3.1.2) |
The nominal strength interaction diagram for this wall with fy = 1.25 × 80 = 100 ksi and ϕ = 1.0 is given in Figure 6.
The largest Mpr = 520,216.38 ft-kip | |
Corresponding axial force = 22,793.1 kip. |

Figure 6 - Nominal Strength Interaction Diagram for the wall with fy = 1.25 × 80 = 100 ksi and ϕ = 1.0
| |
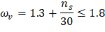
For this 30-story building, the dynamic shear amplification factor is equal to the following: | |
| ACI 318-19 (18.10.3.1.3) |
| |
Therefore, | |
| ACI 318-19 (18.10.3.1) |